西宁湟中区8月25日核酸检测通告(青海省西宁市核酸检测)

2022-11-23 19:58:58

西宁湟中区8月25日核酸检测通告(青海省西宁市核酸检测)

  西宁湟中区8月25日核酸检测通告

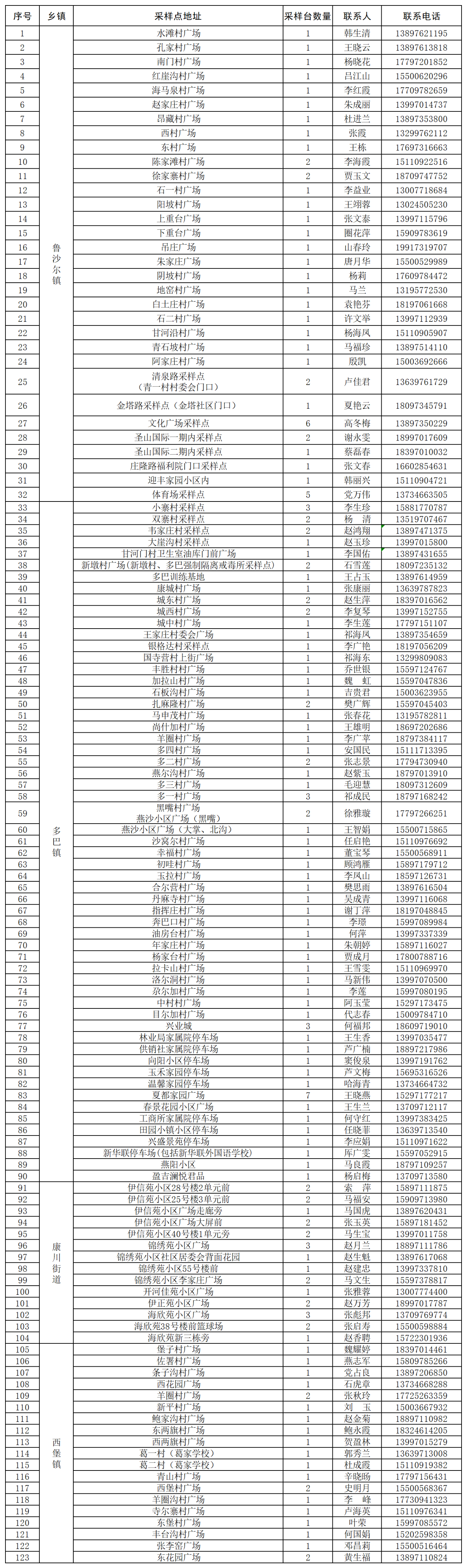
  一、检测范围

  鲁沙尔镇、多巴镇、西堡镇、康川街道区域内全体居民,包括本地常住人口、暂住人口、临时流动人口、务工人口等。

  二、检测时间

  2022年8月25日7时。

  三、注意事项

  1.请符合检测范围的辖区居民按照所在村(社区)的通知指引,有序前往原有采样点进行采样,做到应检尽检。

  2.鲁沙尔镇、多巴镇、西堡镇、康川街道区域内所有商超、便利店(菜铺、肉铺)、药店等营业场所全部歇业,相关从业人员均按要求做好核酸检测,辖区内车辆减少流动。

  3.核酸采样时,请提前准备好采集码,采集过程中全程正确佩戴口罩,并与他人保持2米间隔,不交谈,不聚集。做完核酸检测后,请不要逗留。

  4.采样前2小时内不要饮食,30分钟内请勿吸烟、喝酒、嚼口香糖等,以防影响检测结果;48小时内接种过新冠疫苗的人员以及前期阳性治愈人员,不参加本轮核酸检测采样。

  5.儿童、老人等特殊人群需在监护人或家人的陪同下进行核酸采样。对行动不便等原因无法参与现场采样的高龄老人、残疾人,可联系所在村(社区)做好登记,核实基本情况后安排医务人员上门采样。

  6.请广大市民按照居住地所在辖区和管理单位通知,分时段有序前往就近采样点进行核酸采样,减少不必要跨区流动。

  7.不参加核酸检测将会给您及他人的生活和健康带来诸多影响,无正当理由拒不配合、妨碍疫情防控或造成其他严重后果的,将依法承担相应法律责任。

  8.本次检测仅显示检测结果,不出具核酸检测报告。

(图源:湟中区疫情防控指挥部)

上一篇:

西宁城北区8月25日核酸检测通告 西宁市城北区核酸检测

下一篇:

已是最新文章

相关文章
返回顶部小火箭